首页
📁归档
⏳时光机
📫留言
🚩友链
💰资助名单
推荐
🎧音乐
🏜️ 壁纸
❤ 捐助
Search
1
【NPN/PNP三极管】放大电路饱和失真和截止失真的区别
19,486 阅读
2
论文写作中如何把word里面所有数字和字母替换为新罗马字体
10,315 阅读
3
【高数】形心计算公式讲解大全
8,840 阅读
4
【概论】一阶矩、二阶矩原点矩,中心矩区别与概念
7,568 阅读
5
Vivado-FPGA Verilog烧写固化教程
7,098 阅读
🪶微语&随笔
励志美文
我的随笔
写作办公
📡电子&通信
嵌入式&系统
通信&信息处理
编程&脚本笔记
⌨️IC&系统
FPGA&ASIC
VLSI&IC验证
EDA&虚拟机
💻电子&计算机
IP&SOC设计
机器学习
软硬件算法
登录
刘航宇(共304篇)
找到
304
篇与
刘航宇
相关的结果
- 第 23 页
2021-03-09
虚拟语气特殊用法及考点分析
虚拟语气特殊用法 1)以下情况从句用“should + v原型.”表示虚拟,并且 should 可以省略。 以防in case,lest,forfear that 命令order,direct,command 建议advise,suggest,propose 要求ask,request,demand,require 用虚拟是必要的 举例 • 以防得传染病,你最好呆在家里。 In case that you should develop fatal infections,you had better stay at home. • 我应该参加更多的活动是非常重要的。 It seems crucial that more activities should be attended show myself. • 老师要求我们交研究报告。 The teacher asks that we should had 2) 以下情况从句用过去时表示虚拟 常见的有两个:would rather 和 It is high time that… 举例 • 是时候培养孩子的独立性了。 The independence of kids should were cultivated by senior citizens. 3) 以下情况要区别对待 把本来的时态变成相应的过去时就行了。 常见的词有:wish; if only; but for; or/otherwise; as if/as though 等 举例 • 如果我是你的孩子该多好啊。 If only I were your child. If only I had been your child. 考点分析 1) 写作 举例 • 对于普通市民来说,保护小区环境,不乱丢垃圾是非常必要的。 It is important that the community environment should be protected and rubbish be never dumped for the common. 2) 长难句分析 虚拟语气和非虚拟语气都是直接翻译 练习 • If that happened, passionate consumers would try to persuade others to boycott products, putting the reputation of the target company at risk. 如果这种情况发生,激情的消费者会尝试劝说其他人,抵制这种产品,使目标公司荣誉受到破坏。 • The millions of calculations involved, had they been done by hand, would have lost all practical value by the time they were finished. 如果用手工计算,等他们结束时候,所涉及的数百万次计算将会失去他的存在价值
我的随笔
刘航宇
5年前
0
627
2
2021-03-09
微分4大中值定理
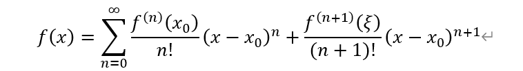
罗尔中值定理条件:(1)f(x)在[a,b]连续。(2)f(x)在(a,b)可导。(3)f(a)=f(b)。 结论:在a和b之间必有一个值ξ使得f’(ξ)=0。 几何意义:在该条件下的函数,必可在在其区间内找到一点使得切线斜率为0。 引申---费马引理 y=f(x),若x0为y=f(x)的极值点,则f’(x0)=0。 拉格朗日中值定理条件:(1)f(x)在[a,b]连续。(2)f(x)在(a,b)可导。 结论:在a和b之间必有一个值ξ使得f’(ξ)=(f(b)-f(a))/(b-a)。 几何意义:在该条件下的函数,必可在其区间内找到一点使得切线斜率与端点连线斜率相等。 拉格朗日中值定理是罗尔中值定理的推广。 证明:使用曲线减去两端点连线得出一个函数,再对该函数应用罗尔中值定理。 使用该定理的信号:要求证的式子中有一个端点处函数值之差。 柯西中值定理条件:(1)f(x)、g(x)在[a,b]连续。(2)f(x)、g(x)在(a,b)可导。且g’(x)≠0 结论:在a和b之间必有一个值ξ使得(f'(ξ))/(g'(ξ))=(f(b)-f(a))/(g(b)-g(a))。 柯西中值定理是拉格朗日中值定理推广。 证明:使用参数方程,将f(x)和g(x)作为参数表示。证明过程与拉格朗日中值定理相同。 使用该定理的信号:要求证的式子中有两个端点处函数值之差。 泰勒中值定理泰勒中值定理即带有拉格朗日余项的泰勒公式。 图片 拉格朗日中值定理是带有拉格朗日余项的泰勒中值定理的特例。 使用该定理的信号:高阶导数。 使用方法:(1)确认n的取值,一般根据高阶导数的阶数选取。(2)确认x0的取值,一般选取题中已知导数值的点。(3)确认x的取值,一般为题中所给已知值的点或端点和极值点。
我的随笔
刘航宇
5年前
0
1,445
3
2021-03-08
虚拟语气
什么是虚拟语气? 虚拟语气表示与事实相反或语气委婉。 只需要把句子时态变成过去式,则为虚拟语气 一般用法 If引导的条件状语从句 举例 • 如果你是我眼中的一滴泪,我永远不会把它流出来。 If you are(were) a tear in my eyes,I will(would) never shed it • 如果昨天晚上我是一条狗,我就可以和你们睡在床上了。 If I was(had been过去的过去) a dog,I could sleep(have slept) with you? 虚拟语气中be过去式只有were没有was,could=would=might
我的随笔
刘航宇
5年前
0
282
1
2021-03-07
英语的特殊结构
综合练习 • 教师节就要来了,我借这次机会向给予我帮助的老师表示衷心的感谢。 Teacher’s day approaching,I express my sincere appreciation to teachers who have given me assistance by the chance. • 生命很短暂这个事实已经被很多人接受了。 The truth has been accepted by the mass that life becomes so short that every day should be valued. • 上课不集中精力而又希望通过考试的学生,往往会发现结果不令人满意。 Students who fail to concentrate in class but wish to pass examinations perceive perceive that the consequence proves less impressive • 为了实现我的梦想,我一直在思考我应不应该和男朋友分手。 I in order to realize my dream am considering whether I should depart with my boy friend. • 在有学校的地方,司机应该缓行。 Where there exists a school,drivers should go slouly — 强调句型 It is (被强调)….that主要/who/which 构成 举例 • 我昨天在街上遇到了我的旧情人。 • I met my old flame in the street yesterday. 改为强调句: It was I that met my old flame ……. 强调句型可以强调句子所有成分,唯一不能强调谓语。 练习 • 为了实现我的梦想,我一直在思考我应不应该和男朋友分手。 It is to realize my dream that I am …. • 有很多的原因可以解释这种现象。 There remain abundant elements to account for the issue. 考点分析 1) 写作中的应用 所有句子都可写成强调句 练习 • 你至今仍然没有意识到就是因为你交友不慎,你才没有考上心目中理想的大学。 So far,you have never realized that because you have unforable friends,you failed to … • 就是在我的女儿出生以后,我才意识到母亲的伟大。 2) 长难句分析练习 • But it is the arrival of new satellite channels—funded partly by advertising and partly by viewers’ subscriptions—that will bring about the biggest changes in the long term. • Perhaps it is humankind’s long suffering at the mercy of flood and drought that makes the idea of forcing the waters to do our bidding so fascinating. 二 倒装 什么是倒装? 倒装就是把一句话写成一般疑问句形式,也就是给一句话加个助动词或把be动词放在句首 举例 • 你爱我吗? Do you love me? • 你去过欧洲吗? Have you been to you europe • 你爸爸是个老师吗? Is you father a teacher. 倒装的具体用法 1) 否定词放在句首用倒装 I can hardly speak Japanese Haredly can I ……. 举例 • 我几乎不会说日语。 • 我绝对不会爱上你。 I by no means love you. By no means do l love you. • 玩手机不但影响年轻人的身心健康,而且浪费了他们的时间。 Playing phones not only influences the physical and mental health of youngsters but also waste their precious time Not only does plying influences 倒装的考点分析 1) 写作中的应用 举例 • 文化交流不但能促进我们国家经济的发展,而且还能开阔个人的眼界。 Not only can cultural exchange promote economic advance but also makes our egesiht broad. • 我累得浑身都没有劲了。 I am so exhausted that I have no energy throughout • 当外面下雨的时候,只有在自己的家里,我才感到安全和放松。 Only at home do I feel safe and relaxed. 2) 长难句分析 还原倒装部分后再翻译 练习 • Television is one of the means by which these feelings are created and conveyed—and perhaps never before has|| it served so much to connect different peoples and nations as is the recent events in Europe.
我的随笔
刘航宇
5年前
0
436
1
2021-03-06
比较结构的特殊用法(英语)
图片 as 专题 as 意思总结 • 1.as+ n. 作为 • v. + … + as as意思取决于前面名词 • as + 句子 当…时候,定语从句,认为状语,句意分析。 练习 • As作为 a logical合理 consequence of this development, separate分开 journals have now appeared aimed mainly towards either professional or amateur readership. • As a result, the support主语 for ambition as a healthy impulse, a quality to be admired and fixed in the mind of the young, is谓语 probably lower than it has ever been in the United States. • I shall define定义 him as an individual who has elected as his primary duty and pleasure in life the activity of thinking in a Socratic(苏格拉底的) way about moral problems. • Tylor defined culture as “...that complex whole (which includes belief, art, morals, law, custom, and any other capabilities and habits acquired by man as a member of society.”) • As is true of any development society发达国家, in America a complex set of cultural signals, assumptions假设, and conventions underlies all social interrelationships.关系 • Shortlists for job interviews, election ballot papers, lists of conference speakers and attendees: all tend to be drawn up alphabetically, and their recipients lose interest as当…时候 they plough through them. • With other audiences you mustn’t attempt to cut in with humor as they will resent an outsider making disparaging remarks about their canteen or their chairman. • New forms of thought as well as new subjects for thought must arise in the future as就像 they have in the past, giving rise to new standards标准 of elegance优雅. than 专题 1) not so much as = not even 甚至不/没有 举例 • He cannot so much as spell a word.他甚至不能拼写一个单词 • He did not so much as ask me to sit down.他甚至都没邀请我坐下。 2) not so much A as B 与其说 A 倒不如说 B 举例 • He is not so much a teacher as a poet. • 与其说他是老师,不如说他是诗人 • 3)more A than B • 与其说 B 不如说 A 举例 • He is more a poet than a teacher. 4) more than… • 后加名词 • Liu more than is a teacher. • 翻译:不仅仅是 • 后加形容词/副词 • 翻译:非常的 • 后加数词 • 翻译:多余
我的随笔
刘航宇
5年前
0
414
1
2021-03-05
句子所有成分大总结练习
图片 举例 • 我妈妈是一个美丽的女人。 My mother is an elegant lady=My mother is a lady of elegance. =my mother is a lady as elegant as a lily. =my mother is a lady looking as elegant a lady =….. who looks as elegant as a lady. • 她杀死了她的老公。 She killed her husband with a sharp knife. =she applying a sharp knife,keilled her hushand. =when she applied a shar knife,she keiied her hushand. • 我遇见你是我的荣幸。 That I met you is my honor. Meeting you is my honor. • 我的梦想是通过研究生考试。 My dream is to pass the examination of post gradutes. My dream is that I pass the examination of post gradutes. 英语长难句的模样: (状 ),主语(定/同/状)谓语 宾语(定/同/状). 练习:拉长句子 • 英语很重要。 English (a universal language throughout the world)is vital (although it is hard to recite these words) • 我要给你推荐一个旅游景点。 I (a graduate in this university) will recommend you a tourist attraction which kepps popular Chinese travelers. • We are singing songs.
我的随笔
刘航宇
5年前
0
391
2
2021-03-04
微积分不等式的证明方法[高等数学]
证明方法总结: (1)利用函数单调性证明不等式 若在(a,b)上总有f(x)的导数大于零,则函数f(x)在区间(a,b)上单调增加;若在(a,b)上总有f(x)的导数小于零,则函数f(x)在区间(a,b)上单调减少。 (2)利用拉格朗日中值定理证明不等式 对于不等式中含有f(b)-f(a)的因子,可考虑用拉格朗日中值定理先处理一下。 扩展:拉格朗日中值定理 条件:(1)f(x)在[a,b]连续。(2)f(x)在(a,b)可导。 结论:在a和b之间必有一个值ξ使得f’(ξ)=(f(b)-f(a))/(b-a)。 几何意义:在该条件下的函数,必可在其区间内找到一点使得切线斜率与端点连线斜率相等。 拉格朗日中值定理是罗尔中值定理的推广。 证明:使用曲线减去两端点连线得出一个函数,再对该函数应用罗尔中值定理。 使用该定理的信号:要求证的式子中有一个端点处函数值之差。 (3)利用函数的最值证明不等式 若函数f(x)在闭区间[a,b]上连续,则f(x)在区间[a,b]上存在最大值M和最小值m. (4)利用泰勒公式证明不等式 如果要证明的不等式中,含有函数的二阶或二阶以上的导数,一般通过泰勒公式证明不等式。 不等式证明的难点也是辅助函数的构造,一般可以通过要证明的不等式分析得出要构造的辅助函数。 扩展: 泰勒公式 泰勒公式中系数表达式:(f^((n) ) (x_0 ))/n! (x-x_0 )^n 当x_0=0的时候,泰勒公式则称为麦克劳林公式。
我的随笔
刘航宇
5年前
0
1,016
3
2021-03-04
The Power of the Dream|每日一读
图片 When someone looks into your eyes they should see something alive within you. Having a dream is like owning a lighthouse1 which directs you on your journey. At every turn we come across its mystery. At each new level we become more of the person we were meant to become. In lonely times, when we pass through a storm of disappointment, we find our faith is unshaken, our strength still strong. Believe in your faith. Set the vision before your eyes. Write down your most sincere dreams and when the opportunity comes, step into your dream. It may take one season or more, but the result is the same. Make big dreams and then go out and make them realities. The highest hopes of the dreamer are revealed with every step taken in their journey to the impossible. For a season we must protect the dream so that it can grow quietly on the inside. But if we tenderly care for our deepest expectations, slowly but surely the dream will become new life. Dreaming is an act of faith. The light of your expectations will cast off the shadows of a disbelieving world. God has given us the dreamer as a gift to light an unbelieving world. Find your treasure within and cherish2 it. Tomorrow is waiting for you to take the first step. 翻译:梦想的力量 别人看你的眼睛时,他应当体会到你内心的活力。怀揣梦想就像是拥有一座引领你前行的灯塔。 每个转折关头,它给我们带来奇迹。每个新的起点,我们脱胎换骨,焕然一新。孤独中我们挺过失望的阴霾,发现我们的信念不曾动摇,我们的力量依然强大。 秉持信念,期盼未来。许下你最真诚的梦想,一旦机会来临,就为之拼搏。也许要花一季甚或更多的时间,但结局不会改变。立大志,倾全力,成现实。前途未卜,唯有一步一个脚印,梦想者的至高希冀才会实现。我们必须珍存梦想,给它一季的保护,让它在内心悄然生发。然而我们还得温柔呵护我们内心至深的期许,慢慢地梦想必将成就新的生命。 梦想是实现信仰的第一步。你的期待熠熠光辉,它会驱逐不信的阴影。上帝赋予我们梦想的天资,去点亮不曾确信的世界。让梦想的财富寄于心中,珍爱它,明天正等着你跨出第一步。
励志美文
刘航宇
5年前
0
422
3
2021-03-03
状语和状语从句的考点分析
一 写作中的使用 作文中任何一句话旁边都可加一个状语把句子拉长。 举例 • 我爱你。 I love you very much I love you for my whole life. • 你可以像猪一样生活,但是你永远不会像猪一样快乐。 one can live as if he were a pig conversely he can never be as delighted as a pig. 二 长难句分析 能快速识别状语,并通顺的翻译出来 如何识别状语呢? 只要句子中见到以下,一定为状语: 副词:比较、条件、结果、原因、让步、目的、方式、伴随 分析长难句 n+时间/地点,需要区别状语、定语 I love a boy in Zhejiang University.我爱浙江大学男孩 如果无法确定定语或状语话,定语优先。只有定语翻译“明显”不成,则状语。 练习 • ,The Greeks主语 assumed认为谓语 that宾语 the structure of language had some connection with the process of thought, [ which took root( in Europe)地状( long before people realized how diverse languages could be.) 时状] 定语 • Social science is谓语 that branch分支 of [intellectual enquiry/定1 which seeks to study humans and their endeavors/2 (in the same reasoned, orderly, systematic, and dispassioned manner)状语 that natural scientists use for the study of natural phenomena/3.]定语 • The behavioral sciences have been(谓语) slow to change partly 原因状语because the explanatory items often seem to be directly observed and partly原因状语 because other kinds of explanations have been hard to find. • Traditionally, legal learning has been viewed (in such situations)装 as the special preserve宾语 [of lawyers]定, rather than而不是 a necessary part宾语 of the intellectual equipment of an educated person. • (While虽然 it is easy to ignore (in our contact with them) the effect of our acts upon their disposition)让步状语, it is(主句谓语) not so easy (as in dealing with adults.)状语 从句动词不定式当主语,通常放于句末,加it做形式主语,It形式主语。 五 句子所有成分大总结 主干成分:主语、谓语、宾语、表语(主语解释者) 修饰成分:同位语(解释n)、定语(修饰n)、状语(修饰除n)、补语(补充宾语) 图片 图片
我的随笔
刘航宇
5年前
0
436
1
2021-03-03
【高数】常用不定积分公式及其应用
1、∫ a dx = ax + C,baia和C都是常du数 2、∫ x^zhia dx = [x^(a + 1)]/(a + 1) + C,其中a为常数且dao a ≠ -1 3、∫ 1/x dx = ln|x| + C 4、∫ a^x dx = (1/lna)a^x + C,其中a > 0 且 a ≠ 1 5、∫ e^x dx = e^x + C 6、∫ cosx dx = sinx + C 7、∫ sinx dx = - cosx + C 8、∫ cotx dx = ln|sinx| + C = - ln|cscx| + C 例如:x/(1+x)^2的的不定积分 =[(1+x)-1]/(1+x)^2 =1/(1+x)-1/(1+x)^2 换元t=1+x =(1/t) dt - t^(-2)dt 积分得到 ln|t|+1/t+C =ln|1+x|+1/(1+x)+C 图片
我的随笔
刘航宇
5年前
0
2,588
2
2021-03-03
【高数】极限中常用等价无穷小
求极限时,使用等价无穷小的条件: 被代换的量,在取极限的时候极限值为0; 被代换的量,作为被乘或者被除的元素时可以用等价无穷小代换,但是作为加减的元素时就不可以,加减时可以整体代换,不一定能随意单独代换或分别代换 替bai换公式如下 : 图片
我的随笔
刘航宇
5年前
1
1,787
5
2021-03-03
焦虑?别灰心,改变明天的只会是今天。
你焦虑,因为你在二三十岁的时候还没有长大,也没有发现人生的本质。人活一辈子,是一个逐渐成长的过程。人生一辈子,也是一个逐渐发现自我的过程。 我们人生里会有很多问题,也会有很多抉择,这都很正常,这些构成了每个人不一样的际遇,不一样的思维,不一样的生活状态,和不一样的最终结局。 但认清了人生的本质,你才能知道,很多时候你回答的一个问题,你做的一个抉择,其实只是你人生的一部分,学会坦然接受,学会眼光看的长远,你就会发现,即使当下你不知道哪个是最优选择,但你至少不会选差。 真正困住你的,并不是目标本身,而是你对恐惧的想象。 大脑很喜欢放大恐惧,别被你的大脑骗了。 想象一个人,他在一个黑漆漆,空荡荡的孤岛上跑10000米。 他不知道自己跑了多少步,也不知道还要跑多久。 每跑50米,100米,1000米,都没有人告诉他,你跑到哪里了,还剩多少米。 没有进度条,没有反馈,没有交流,没有陪伴,他就这样在这暗无天日的永夜中,不停的奔跑,奔跑,奔跑,奔向一个永远不会达成的目标…… 这是怎样的一种感觉? 再想象一个人,他在一个充满阳光的跑道上跑10000米,跑道上有刻度,他的身边有裁判,有家人,有好朋友陪伴着他。 他每跑完50米,裁判就会告诉他:“你已经跑了50米了,你离目标又近了一点”, 他每跑完100米,他的家人和朋会友对他说:“你已经跑了100米了,很不错哎,你的努力我们都看到啦,加油!” 他心里有数了,步伐更坚定了。继续跑,继续跑,又跑了200米,又跑了300米…… 就这样,每跑一段距离,得到一次反馈;每跑一段距离,得到一次反馈…… 这又是怎样的一种感觉? 其实,这两个人所做的事情都一样,都是跑10000米,但是,他们的心理感受是完全不同的。 所谓的“压力”,其实就是这么来的。 当你背着一个极其宏大的目标上路,并且努力了很久很久,都得不到一次正面反馈的时候,压力就会像乌云一样,一点一点遮住你的心灵,压垮你的意志。 真正困住你的,并不是目标本身,而是你对恐惧的想象。 大脑很喜欢放大恐惧,别被你的大脑骗了。 所以,要想给自己减压,最根本的,就是抓住两个点: 1【拆分】——把大目标拆分成小目标。 2【反馈】——给自己建立正面反馈机制,每走一步,就得到一次正面反馈,这样才能吸引自己坚持下去。 这个方法,不是我自己想出来的,而是真的有人把它实践出来了,这个人,就是2004年雅典奥运会女子10000长跑冠军邢慧娜。 邢慧娜在获得长跑金牌后,记者采访她,问她是用怎样的毅力坚持跑完一万米的? 她说:“我不知道,我什么都没想,我就想着跑一步,再跑一步,然后就这样一步,一步,一步,不知不觉就跑完了。” 甚至,在她冲过终点线的那一刹那,她还没有意识到自己已经拿金牌了,她仍然沉浸在脚下的节奏中,闷头又往前跑了一小段,被裁判多次示意后才停下。 看到电视里的这一幕,妈妈说:“原来她是这样想的啊,不去想10000米这个大目标,只想着走好脚下的每一步。走一步,再走一步,就这样不知不觉地就把大目标完成了。” 这个理论对我的影响非常深刻,在我后来的人生中,每遇到目标繁重,压力大到崩溃的事情时,妈妈就会对我说:“想想邢慧娜”。 这几年,我自己压力最大的一段时间,发生在2016年上半年。 那半年,我首先要看完60多斤印尼语文献,和总时长50多小时的视频音频资料,并从中提炼出有用的部分,经过分析和研究,最终写成30000多字的硕士毕业论文(我的研究对象是苏门答腊岛米南加保族的某种乐器); 其次,根据投资方的要求,我要在半年时间内,完成《三字经》《千字文》《声律启蒙》《百家姓》这四套国学歌曲的作曲工作,并完成编曲录音和演唱; 同时,2016年正是我在知乎写情绪管理文章的上升期,当时我给自己定的目标是,每周至少写一篇; 与此同时,我工作室还有三个项目的谈判在交替进行,预计自己要在西南地区采风创作两个月,中间挤时间学昆曲和岔曲共24课时。 哦,对了,我当时还带了三个钢琴学生和两个编曲学生。 这是我2016年上半年要完成的工作量。 到了某一个点,我突然断片了,真的什么都干不动了,只想躺在床上打仙剑打到死。 我跟妈妈说,我觉得我快抑郁了,我感觉自己真的很失败,很没有行动力,没有自控力,简直啥都干不成,我要废了。 妈妈说:“别急别急,想想邢慧娜。” 对,邢慧娜,走一步,再走一步! 好,我还用这个方法,我不去想10000米,我只想着脚下的每一步。 我不去想论文有多庞大,外文资料有多厚,我什么都不想,我直接开始做。我一个字,一个字,做。 我翻开外文资料的第一张,唉,这捆资料是我两年前从苏门答腊岛背回来的,放了两年,积了厚厚一层灰。 不过没关系,我把灰擦干净,我把自己归零,我一无所有,我从零开始做。 先从文献的第一句开始看,完蛋,一句话10个单词,只认识5个。好吧,没关系,我一个单词一个单词查。 我先查第一个,再查第二个,再查第三个…… 查完以后,我把整句话拼起来,把中文意思写在笔记本上。 嗯,我很不错,我翻译完了第一句话,我还有力量,我自己给自己一个正面反馈! 然后,再写第二句话,第二句话有三个词不认识,再查,查完写在笔记本上。 不错,我翻译完了第二句话,我的力量还在,我给自己一个正面反馈! 然后翻译第三句。 …… 就这样,一上午过去了,我翻译了5页。 一周时间过去了,我翻译了100页。 三个月时间过去了,我竟然把最厚的那本文献翻译完了! 我什么都不想,我只想着手中的每一个字,写一个字,再写一个字,就这样,不知不觉,竟然把一本厚厚的外文资料翻译完了。 邢慧娜原理,果然很无敌! 就用这种方法,一点一点哄着自己,把论文弄完了。 而且我的论文答辩还获得了专业第一名的好成绩(93分)! 同样也是用这种方法,一个音符一个音符,把那套国学歌曲也写完了。 而且这套歌曲一经发布,便广受好评,甚至后来偶尔路过一些学校或幼儿园,还能听到里面传来孩子们的歌声“天地玄黄~宇宙洪荒,日月盈仄~辰宿列张”——是我写的旋律! 半年时间过去,我当初的目标,竟然一个一个都达成了。 哦,对了,我居然每天还能挤时间去楼下青年湖公园跑两圈。 没想到,一个人,在半年时间内,竟然可以做这么多事情! 只要你沉住气,凝神归元,把力量集中在当下所做的那件事情上。 你很微观,你只在乎当下,你的手在写一个字,你的心就在这个字上。 别去想那个终极目标,别让宏大的目标把你压垮了。 真正困住你的,并不是目标本身,而是你对恐惧的想象。 大脑很喜欢放大恐惧,别被你的大脑骗了。 前天晚上,有一个小姑娘在我公众号后台留言,她说:“巴赫姐,我明知道自己要申请国外的学校了,可就是行动不起来,我不想去查那些外国网站,不想填申请表,感觉自己丧失行动力了,怎么办?” 我说:“当你看到这条信息的时候,你帮我做件事——直接打开你想申请的学校的网页,从网页上down下来一张申请表,发给我。” 三分钟后,我收到了她发来的申请表。 她告诉我说:“巴赫姐,你知道吗?我原本以为去外网查申请表是一件困难很困难的事,可是当我真正去做的时候,才发现,原来竟然这么简单!” 是啊,你看,就这么简单。 打开那个网页,找到申请表那一栏,点击鼠标右键。 真正困住你的,并不是目标本身,而是你对恐惧的想象。 大脑很喜欢放大恐惧,别被你的大脑骗了。 当你背负着巨大压力的时候 ,别着急,别害怕,想想邢慧娜。 不要让自己陷入一种在黑暗中绝望奔跑的状态,试着把自己拉回到阳光下,自己给自己建立一个进度条,自己给自己建立一个正面反馈机制。 比如,你可以跟你非常信任的人,爸爸,妈妈,老师,朋友,爱人,都可以,和你信任的人,结成“正面反馈联盟”。 告诉他:“亲爱的妈妈(爸爸,老师,朋友,老公,老婆),我现在压力很大,我需要你的帮助。我希望我接下来的一段时间,每完成一个小小的目标时,你都能对我说一句鼓励的话,给我一句正面反馈。” 接下来,就一步一步去做吧,打开作业本,打开参考文献,打开Word,写下,或敲下你的第一行字。 哪怕你一上午只写了五行字,你也已经成功了! 因为,你战胜了脑海里的恐惧,你从烂摊子上勇敢的站起来了! 把这个好消息告诉你信任的人,对他说,“亲爱的,我上午写了五行字,请给我一个正面反馈吧!” 这样,你自己的第一步,就走出来了! 走一步,再走一步。 每一步,都走得踏踏实实,稳稳当当。 一旦你真的进入了那种“做”的状态,你会发现,一切都进行的有条不紊地,一切都顺利起来了。 最重要的,就是迈出第一步,哪怕在家长朋友的帮助下鼓励下,也要勇敢的迈出第一步! 脑内千山万水,不如脚下迈出一步,哪怕是跌出去的一步。 我不求赢得比赛,我只求跑完全程。 最后,祝大家都能战胜恐惧,恢复行动!
励志美文
刘航宇
5年前
0
717
3
上一页
1
...
22
23
24
...
26
下一页